百分比的计算方法(百分比的计算方法及技巧)
小伙伴们好
2022年多省公务员考试即将到来
行测备考迫在眉睫
今天梳理一类典型的比例类计算问题
--溶液问题--
希望能帮助小伙伴们更高效地备考
快拿出小本本记笔记
溶液问题
行测考试中,溶液问题是一类典型的比例类计算问题,大家首先要熟悉溶液、溶质和溶剂三者的关系,这是解题的关键和基础,然后考生还需掌握溶液问题常用的方法和技巧,比如方程法、赋值法。
做好溶液题目,需要掌握以下几个关键点:
溶液=溶质+ 溶剂;浓度=溶质÷溶液;
溶质=溶液×浓度;溶液=溶质÷浓度。
重点题型:
1、溶质不变型;
2、溶质变化型;
3、抽象比例型;
重点方法:
简单溶液混合问题:运用溶液基本概念或基础公式就很容易得以解决;
等溶质增减溶剂问题:设出溶质,得到溶液,即可解决;
溶液比例问题:运用设整思想,根据所给条件将溶质或溶液设出;
溶质变化混合稀释问题:只需要抓住浓度本质,看溶质最后剩下多少就能快速得到答案。
1、溶质不变型:
例题1
一杯浓度为50%的糖水,加入一定量的水后浓度变为40%,再加入与上一次等量的水后,糖水变为60克,问糖水中的糖有多少克?
A.18 B.20 C.24 D.30
【解析】
第一步,本题考查溶液问题中的基础溶液。第二步,设浓度50%的糖水有x克,第一次加水量为y克,则糖水中的糖为50%x克,根据“加入一定量的水后浓度变为40%”可得

,解得x=4y。根据“再加入与上一次等量的水后,糖水变为60克”可得x+2y=60,解得x=40,y=10。
第三步,糖水中的糖为50%x=50%×40=20。因此,选择B选项。
2、溶质变化型:
例题2
实验室内有浓度分别为10%和25%的盐酸各500毫升,从两种溶液中分别倒出一部分配成浓度为15%的盐酸600毫升。如果将剩余的盐酸混合,则该溶液的浓度为:
A.16.5% B.18.6% C.20% D.21.25%
【解析】
第一步,本题考查溶液问题,属于溶液混合。
第二步,浓度=溶质/溶液,考虑剩余盐酸溶液的溶质和溶液的量,剩余盐酸溶液的量为500+500-600=400,剩余盐酸溶液的溶质为500×10%+500×25%-600×15%=85,则剩余盐酸溶液的浓度为85/400=21.25%。因此,选择D选项。
3、抽象比例型:
例题3
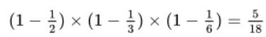
一碗芝麻粉,第一次吃了半碗,然后用水加满搅匀;第二次喝了碗,用水加满搅匀;第三次喝了1/6碗,用水加满搅匀;最后一次全吃完。则最后一次吃下的芝麻糊中芝麻粉含量是 。

【解析】
第一步,本题考查溶液问题,属于抽象比例。
第二步,第一次吃了半碗加满水后,溶质减少了1/2,第二次喝后加满水,溶质又减少了1/3,第三次喝后加满水,溶质又减少了1/6,此时溶质变为最初的

,故最后一次吃下的芝麻糊中芝麻粉含量是。因此,选择D选项。

